Eladó Sorház, Nyíregyháza

#672600897

Eladó Sorház

119.9 millió Ft

Nyíregyháza Korányi-kertváros
Alapterület:
137 m2
Szobák száma:
4
Állapot:
Felújított
Építési mód:
Tégla
Azonnal költözhető
Családi házak
Lifestyle
Téglaépítésű lakás

Kérjen személyes bemutatást!
Adja meg adatait, és hogy mikor érne rá!

Az Adatkezelési tájékoztatót elolvastam és elfogadom.

Megfelelő időpontok

Hétköznap délelőtt
Hétköznap délután
Hétköznap este
Hétvégén délelőtt
Hétvégén délután
Hétvégén este
Kérés elküldése
Nincs
100 m2
Felújított
Kondenzációs kazán
Vegyes
2
Összkomfort
Bevezetve (230 Volt)
Van, saját vízórával
Vezetékes gáz
Közműhálózatba bekötve

Kertvárosi álomház Nyíregyházán – felújított otthon Korányi‑kertváros legjobb részén

Rövid bevezető

Nyíregyházán, a Korányi‑kertváros egyik legkeresettebb részén, a Tölgyes erdő közelében eladó egy teljes körűen, prémium minőségben átépített és felújított, 2 szintes, kertkapcsolatos, szélső sorházi lakás garázzsal, fedett kerti pavilonnal és számos extra kényelmi megoldással. Az ingatlan azonnal költözhető, ideális választás igényes családoknak, akik modern, kész otthont keresnek rendezett, csendes kertvárosi környezetben.

Főbb paraméterek

Lokáció: Nyíregyháza, Korányi‑kertváros, Tölgyes erdő közelében, kertvárosias környezetben

Ingatlantípus: szélső sorházi lakás, 2 szintes

Állapot: teljes körűen, prémium minőségben felújított

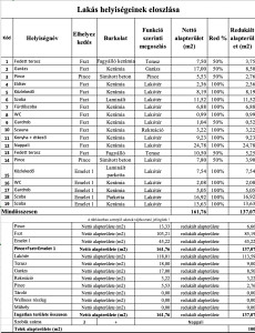
Nettó alapterület: 161,76 m²

Redukált alapterület: 137,07 m²

Lakótér: 113,07 m²

Telek: cca.: 150 m², oldalsó és hátsó kertkapcsolattal

Szobaszám: 3 szoba + amerikai konyhás nappali

Fürdő/WC: 1 zuhanyzós fürdőszoba + 2 külön WC

Parkolás: 17 m²‑es garázs elektromos kapuval, fedett gépkocsi beálló, utcai parkoló

Közös költség: 8 700 Ft/hó

Helyiségelosztás

Földszint

- Fedett terasz (kertkapcsolattal)

- 17 m²‑es garázs elektromos kapuval

- Pincehelyiség

- Előtér, közlekedő

- Szoba

- Fürdőszoba

- WC

- Gardrób

- Szauna

- Amerikai konyhás nappali, étkező

- Hátsó, fedett terasz a kert felé

Emelet

- Közlekedő

- Külön WC

- Gardrób

- 2 tágas hálószoba

Kert és melléképület

- Parkosított, térkövezett kert oldalsó és hátsó kerti résszel

- 17 m²‑es fedett kerti pavilon

- Automata öntözőrendszer

- Fedett gépkocsi beálló (elektromos autó töltési lehetőséggel), elektromos udvari kapu

Műszaki tartalom, felújítás

- Falazat: tégla, 10 cm hőszigeteléssel

- Tájolás: kelet–nyugat (jó benapozottság, átszellőzés)

- Nyílászárók: háromrétegű, hőszigetelt műanyag ablakok redőnnyel; belső ajtók fa kivitelben

- Burkolatok: prémium kerámia és laminált parketta helyiségtől függően

- Fűtés: kondenzációs gázkazán + radiátoros fűtési rendszer

- Közművek: villany‑ és vízvezeték hálózat teljes cseréje

- Beépített szekrények, gardróbok a tárolás megkönnyítésére

- Szauna, klíma

- Biztonsági kamerarendszer, elektromos kapuk

- Mobil automata fűnyíró 

Extrák, életmód, környezet

Tölgyes erdő közelsége: séták, sportolási lehetőségek, kutyasétáltatás, családi programok

Csendes, rendezett sorházas környék, jó szomszédsággal

Közelben üzletek, szolgáltatások, oktatási intézmények, buszmegállók – gyors elérés a belváros és a főbb közlekedési útvonalak felé.

Kinek ajánlott

Olyan vevőknek, akik nem akarnak a felújítással bajlódni, azonnal költözhető, magas műszaki színvonalú otthont keresnek.

Családoknak, akik értékelik a kertkapcsolatot, kerti pavilont, szaunát, garázst és fedett beállót, valamint a biztonságos, kertvárosias környezetet.

Hosszú távra tervező, értékállóságot kereső vevőknek, akik számára fontos a Korányi‑kertvárosi lokáció presztízse.

Megtekintés, kapcsolat

Az ingatlan rugalmas időpontban, előzetes egyeztetés után megtekinthető; komoly érdeklődő számára alaprajz, helyiséglista is rendelkezésre áll.

Kérem hívjon bizalommal!

Péter Ferenc

06-30-4352135

 

Helyiség Méret (m2)
Terasz 7.5
Garázs 17
Pince 5.53
Előtér 2.36
Közlekedő 8.19
Szoba 11.52
Fürdőszoba 6.88
WC 0.99
Gardrób 1.04
Szauna 3.22
Konyha + étkező 9.23
Nappali 24.78
Terasz 10.5
Pince 7.8
Galéria 7.54
WC 2.08
Gardrób 5.05
Szoba 16.92
Szoba 13.63

Kérdése van?
Adja meg adatait és felhívjuk!

Az Adatkezelési tájékoztatót elolvastam és elfogadom.
Üzenet küldése